Programming viscoelastic properties in a complexation gel composite by utilizing entropy-driven topologically frustrated dynamical state

发布时间:2024-05-07

Gui Kang Wang1,2, Yi Ming Yang1,2, Di Jia1,2 *

Nature Communications, 2024, 15, 3569

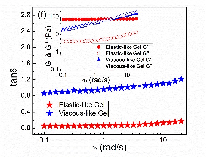
Hydrogel composites in an aqueous media with viscoelastic properties and elastic modulus that can be precisely tailored are desirable to mimic many biological tissues ranging from mucus, vitreous humor, and nucleus pulposus as well as build up biosensors. Without altering the chemistry, tuning the physical interactions and structures to govern the viscoelastic properties of the hydrogels is indispensable for their applications but quite limited. Here we design a complexation gel composite and utilize the physical principle of topologically frustrated dynamical state to tune the cohhelated structures between the guest polycation chains and negatively charged host gels. We precisely quantify the mesh size of the host gel and guest chain size. By designing various topologically cohhelated structures, a viscoelastic moduli map can be built up, ranging from tough to ultrasoft, and from elastic-like with low damping properties to viscous-like with high damping properties. We also tune the swelling ratio by using entropy effect and discover an Entropy-driven Topologically Isovolumetric Point. Our findings provide essential physics to understand the relationship between entropy-driven cohhelated structures and their viscoelastic properties of the complexation hydrogel composites and will have diverse applications in tissue engineering and soft biomaterials.

1.png

4.png

文章链接:https://doi.org/10.1038/s41467-024-47969-z